2017-07-13 1972浏览
A-level数学专业术语词汇虽然不多,但是许多同学容易混淆一些专业术语的词义,如果弄不清楚的话,对A-level考试会造成很大的影响。下面我们就来详细看一些专业术语的解析。
Gradient and Tangent line
Gradient指 a slope or a degree of slopes, especially in a road or railway. 所以gradient指坡度,斜度,在我们数学当中主要指斜率。Tangent 指 straight line that touches the outsides of a curve but does not cut across it. 所以 tangent line 指我们所谓的切线。Tangent line 有时也被叫做equation. 很多学生再看到题目中求 equation 时都只求 gradient而对 tangent line 不管不问。
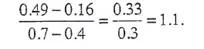
gradient的话,是斜率,是一个数
所以我们有

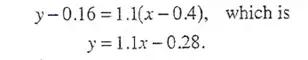
关于tangent line的话 要求的是一个方程式
所以我们有

Differentiation 和 Derivative
Differentiation 是 the mathematical process of obtaining the derivate of a function. 所以differentiation 是一种方法,是一种求derivative 的方法。
Derivative 是 something that has developed or been produced from something else. 所以 derivative 是一个数,或是一个从原方程的衍生品。
Show 和 Prove
这两个词也是学生经常会搞混的两个词,到底证明和展示有什么区别?
Show 是 to provide facts or information that make it clear that something is true, that something exists, or that something has happened.
Prove 是 to show that something is true by providing facts, information.
从表面看, show 和 prove 并没有太大区别, 然而,如果题目要求你prove, 你必须提供严格的证明过程,运用定律或法则,如果题目要求你show, 你则可以使用语言和图形配合区展示你的理论,要求上并没有prove那么严格。
以上就是A-level数学中常见的专业术语,记忆并弄清这些专业术语的含义,在A-level考试中才不会因为答不对题而丢失分数。
想要了解更多的A/O-level考试信息,请继续关注A/OLevel考试信息网!
上一篇 : A-level数学S1部分知识点及题型总结
下一篇 : A-level英语词汇解析——continue
(一) A/OLevel考试信息网考试信息网有大量转载的留学文章,仅代表作者个人观点,与A/OLevel考试信息网考试信息网无关。其原创性以及文中陈述文字和内容未经本站证实,对本文以及其中全部或者部分内容。文字的真实性、完整性、及时性本站不作任何保证和承诺,请读者仅作参考,并请自行核实相关内容
(二) 免费学习出于非商业性学习目的,出国留学版权归原作者所有。如有任何文章内容涉及版权问题,请在30日内与A/OLevel考试信息网考试信息网联系。
本课程由课窝教育新加坡中心提供服务与支持。


友情提示:未经A/OLevel考试信息网考试信息网书面认可,任何单位或个人不得转载、复制本网站内容:否则我们将追究法律责任。
备案号:
苏公网安备32011302322644号
增值电信业务经营许可证:苏B2-20190120 苏ICP备17009794号-16 Powered by marler.cn
版权:
2017-2021 AOLEVEL.COM.CN All Right Reserved.南京课窝教育科技有限公司版权所有
