2018-06-20 2042浏览
英国的大多数中学开设的ALevel课程科目相当广泛,有文科、商科、经济、语言、数学、理科、计算、法律、媒体、音乐等。学生的alevel考试成绩及其所选修的A-Level课程在很大程度上决定着能否进入理想的大学和学习所选择的学位课程。关于alevel考试alevel考试网会给大家带来和A-level考试相关的资讯,下面带来的是:Alevel数学的梯形法则问题的详细介绍。如果您想了解alevel报名截止日期,a水准考试预备班,alevel考试网上报名,alevel经济学真题等关于A-level考试的相关资讯,请继续浏览并关注课窝A-level考试网。

在Alevel数学(Edexcel)的C2科目中涉及到trapezium rule(梯形法则),很多高中学生难以理解这个概念,在此,我们希望用中国学生更能理解的方式讲解一下这个问题。
首先,梯形法则运用于求定积分的问题。普通一些的定函数,例如
![]()
因为被积函数有专门的公式去套用,所以很容易就能写出结果
![]()
这是我们常用的求定积分的思路、方法,但是对于无法直接使用公式、甚至使用比较深奥的换元法、分布积分法还不能求出原函数的被积函数来说,这种求法是不可行的。
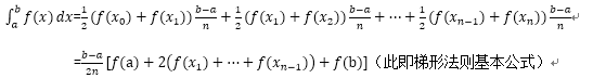
所以,梯形法则应运而生。C2科目中也仅仅是讲述其基本原理,但对于应试的学生来说,已经足够。我们求
![]()
在物理意义上是求
![]()
所表示的曲线与x轴、x=a,x=b围成图形的代数面积,因此我们可以把
![]()
区间分割成n等分,将a记为x0,b记为x1,中间为x1,……,x(n-1)。同时用折线来逼近
![]()
所表示的曲线(如下图所示)

此时要求面积的图形被分割为一个个小的梯形,求出小梯形的代数面积和就能得出
![]()
所表示的曲线与x轴、x=a,x=b围成图形的代数面积。

实际应用中,如果要用梯形法则完美计算定积分是需要使得n尽可能大,n越大用梯形法则得出的值才会越逼近真实值。但C2对于学生的要求只是掌握这个原理,实际题目中n是非常小的,一般是取3、4、5这些值。题目中也会明确要求用梯形法则,直接套用公式即可。
A-level小贴士:A-level录取标准:全球不同大学,不同专业的入学标准对于A-Level的成绩要求不尽相同。概括地说,学生至少学习三门课程,只要在两门课的考试中取得E即可达到一些普通大学的入学标准。而对于较好的大学,则要求学生3门课的成绩均应达到C以上;而对于世界一流大学如牛津、剑桥、哈佛等名校,则要求申请学生3门课的成绩达到 AAA或AAB。各大学对英语成绩的要求也不尽相同,剑桥、牛津等大学要求雅思 > 7.0 ,较好的大学要求雅思 >6.5,一般的大学要求雅思 5.5-6.0
2018年的A-level考试时间,A-level考试内容,A-level考试技巧等资讯小编前面已经更新了很多这样的干货了,今天的内容希望对大家一样有用,小编希望大家能够认真的阅读!还想要了解alevel数学包括什么,alevel官方网站,新加坡a水准考试难度,alevel课程设置等资讯,现在就可以直接在线联系我们的在线客服,一对一的咨询哦!

上一篇 : A-level资讯课堂:给你讲解a-level物理的运动学中的图表例题
下一篇 : A-level留学资讯:英国留学的苏格兰最好的大学有哪些
(一) A/OLevel考试信息网考试信息网有大量转载的留学文章,仅代表作者个人观点,与A/OLevel考试信息网考试信息网无关。其原创性以及文中陈述文字和内容未经本站证实,对本文以及其中全部或者部分内容。文字的真实性、完整性、及时性本站不作任何保证和承诺,请读者仅作参考,并请自行核实相关内容
(二) 免费学习出于非商业性学习目的,出国留学版权归原作者所有。如有任何文章内容涉及版权问题,请在30日内与A/OLevel考试信息网考试信息网联系。
本课程由课窝教育新加坡中心提供服务与支持。


友情提示:未经A/OLevel考试信息网考试信息网书面认可,任何单位或个人不得转载、复制本网站内容:否则我们将追究法律责任。
备案号:
苏公网安备32011302322644号
增值电信业务经营许可证:苏B2-20190120 苏ICP备17009794号-16 Powered by marler.cn
版权:
2017-2021 AOLEVEL.COM.CN All Right Reserved.南京课窝教育科技有限公司版权所有
