400 850 6500

2017-08-09 1918浏览
1)匀强电场Uniform Fields
There is one special example you also need to know :

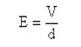
This is a uniform field. The field strength at any point in this field is:(这是一个统一的字段。在这一领域的任何地点的磁场强度是:)

where
V = the pd between the plates(两点间的电势差)
d = the distance separating the plates.(两点沿场强方向的距离)
Field strength is a vector - it has direction as well as magnitude.(场强是矢量,它有方向,也有大小。)
This is important to remember because in electric fields you can have field strengths acting in different directions due to different signs of charge.(这一点很重要,因为在电场中,由于电荷的不同,你可以在不同的方向上发挥不同的作用。)
Radial Fields
A particularly useful equation to find field strength around a point charge (note - the first pictures is the field diagram section were point charges) is:(一个特别有用的方程在点电荷附近找到场强(注-第一张图是图部分是点电荷):)

where
Q = the charge causing the field(源电荷的电量)
r = the separation between the charge and the point you are considering(源电荷到该位置的距离)
ε = permittivity (see below for notes).(ε=介电常数(请参阅下面的注释)
You can also write this as

This shows that:

注:小编能力有限,如有出错,望理解~~~
上一篇 : 【A Level】物理——电场与电场力复习要点(一)
下一篇 : 如何引导A Level学生主动学习(一)
A/OLevel
苏公网安备32011302322644号增值电信业务经营许可证:苏B2-20190120 苏ICP备17009794号-16 Powered by marler.cn
2017-2021 AOLEVEL.COM.CN All Right Reserved.南京课窝教育科技有限公司版权所有