2017-11-16 1573浏览
课窝A/Olevel考试网小编给大家带来Alevel数学中梯形法则问题分析,更多alevel数学问题,欢迎关注课窝A/Olevel考试网!
在Alevel数学(Edexcel)的C2科目中涉及到trapezium rule(梯形法则),很多高中学生难以理解这个概念,在此,我们希望用中国学生更能理解的方式讲解一下这个问题。
首先,梯形法则运用于求定积分的问题。普通一些的定函数,例如
,因为被积函数有专门的公式去套用,所以很容易就能写出结果
。这是我们常用的求定积分的思路、方法,但是对于无法直接使用公式、甚至使用比较深奥的换元法、分布积分法还不能求出原函数的被积函数来说,这种求法是不可行的。

所以,梯形法则应运而生。C2科目中也仅仅是讲述其基本原理,但对于应试的学生来说,已经足够。我们求
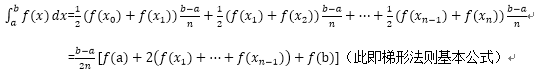
在物理意义上是求
所表示的曲线与x轴、x=a,x=b围成图形的代数面积,因此我们可以把
区间分割成n等分,将a记为x0,b记为x1,中间为x1,……,x(n-1)。同时用折线来逼近
所表示的曲线(如下图所示)
此时要求面积的图形被分割为一个个小的梯形,求出小梯形的代数面积和就能得出
所表示的曲线与x轴、x=a,x=b围成图形的代数面积。
实际应用中,如果要用梯形法则完美计算定积分是需要使得n尽可能大,n越大用梯形法则得出的值才会越逼近真实值。但C2对于学生的要求只是掌握这个原理,实际题目中n是非常小的,一般是取3、4、5这些值。题目中也会明确要求用梯形法则,直接套用公式即可。
上一篇 : 读A-Level国际课程的六大优势
下一篇 : A-level考试难度介绍
(一) A/OLevel考试信息网考试信息网有大量转载的留学文章,仅代表作者个人观点,与A/OLevel考试信息网考试信息网无关。其原创性以及文中陈述文字和内容未经本站证实,对本文以及其中全部或者部分内容。文字的真实性、完整性、及时性本站不作任何保证和承诺,请读者仅作参考,并请自行核实相关内容
(二) 免费学习出于非商业性学习目的,出国留学版权归原作者所有。如有任何文章内容涉及版权问题,请在30日内与A/OLevel考试信息网考试信息网联系。
本课程由课窝教育新加坡中心提供服务与支持。


友情提示:未经A/OLevel考试信息网考试信息网书面认可,任何单位或个人不得转载、复制本网站内容:否则我们将追究法律责任。
备案号:
苏公网安备32011302322644号
增值电信业务经营许可证:苏B2-20190120 苏ICP备17009794号-16 Powered by marler.cn
版权:
2017-2021 AOLEVEL.COM.CN All Right Reserved.南京课窝教育科技有限公司版权所有
