400 850 6500

2017-06-10 2387浏览
对于A Level来说数学的专业词汇不是特别的多,只有大概两百多个,但这两百多的单词中往往有些词汇容易让人分辨不清,犯下错误,今天就拿几组易混词汇来说明相似单词的不同之处。

Gradient and Tangent line
Gradient指 a slope or a degree of slopes, especially in a road or railway. 所以gradient指坡度,斜度,在我们数学当中主要指斜率。
Tangent 指 straight line that touches the outsides of a curve but does not cut across it. 所以 tangent line 指我们所谓的切线。Tangent line 有时也被叫做equation. 很多学生再看到题目中求 equation 时都只求 gradient而对 tangent line 不管不问。

来源于CIE Page 76
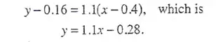
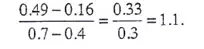
关于gradient的话,是斜率,是一个数
所以我们有
![]()
关于tangent line的话 要求的是一个方程式
所以我们有

Differentiation 和 Derivative
Differentiation 是 the mathematical process of obtaining the derivate of a function. 所以differentiation 是一种方法,是一种求derivative 的方法。
Derivative 是 something that has developed or been produced from something else. 所以 derivative 是一个数,或是一个从原方程的衍生品。
Show 和 Prove
这两个词也是学生经常会搞混的两个词,到底证明和展示有什么区别?
Show 是 to provide facts or information that make it clear that something is true, that something exists, or that something has happened.
Prove 是 to show that something is true by providing facts, information.
show 和 prove从表面上看并没有太大区别, 然而,如果题目要求你prove, 你必须提供严格的证明过程,运用定律或法则,如果题目要求你show, 你则可以使用语言和图形配合区展示你的理论,要求上并没有prove 那么严格。
以上为课窝A/OLevel考试信息网为大家提供的A Level中数学词汇的备考建议,更多精彩内容敬请期待。
上一篇 : A Level选课之数学课的那些事儿— 学A Level数学=学习三门学科
下一篇 : O-level考试中food的可数性及复数名词
A/OLevel
苏公网安备32011302322644号增值电信业务经营许可证:苏B2-20190120 苏ICP备17009794号-16 Powered by marler.cn
2017-2021 AOLEVEL.COM.CN All Right Reserved.南京课窝教育科技有限公司版权所有